本文最后更新于480 天前,其中的信息可能已经过时,如有错误请发送邮件到blue16@email.swu.edu.cn
背景
TSVM
双支持向量机
双支持向量机(TSVM)将传统支持向量机(SVM)的优化问题分解为两个较小的优化问题
核心公式
原始问题
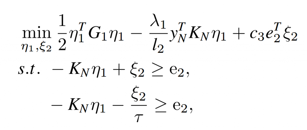
最初的公式:

经过化简过后:

where

is a matrix with symmetric structure and non-negative definite elements.
引入的公式
拉格朗日公式

where α1, β1 ∈ Rl2 are the vectors of Lagrange multipliers.
KKT条件引入


由于G1是非奇异的(有逆矩阵),条件1可以化简为:

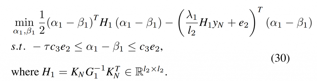
Wolfe对偶形式
第一个公式:

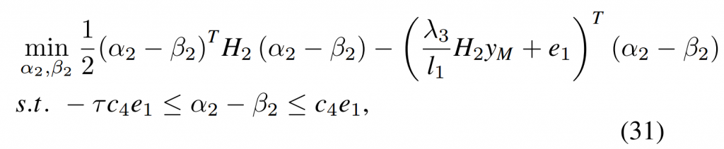
第二个公式(推到形式相同):









